Skip to content Skip to sidebar Skip to footer

Widget HTML #1

First Partial Derivative Calculator - Backpropagation Programmer Sought : So, the partial derivative of f with respect to x will be ∂f/∂x keeping y as.

First Partial Derivative Calculator - Backpropagation Programmer Sought : So, the partial derivative of f with respect to x will be ∂f/∂x keeping y as.. The first derivative of x is the object's velocity. The second derivative of x is the acceleration. The third derivative of x is the jerk. Suppose f is a function in x and y then it will be expressed by f(x, y). This is a second order partial derivative calculator.

So when we take the partial derivative of a function. Interactive graphs/plots help visualize and better understand the functions. By using this website, you agree to our cookie policy. The n th derivative is also called the derivative of order n. Free online derivative calculator allows you to solve first order and higher order derivatives, providing information you need to understand derivative concepts.

Fulldiff M File Exchange Matlab Central
Fulldiff M File Exchange Matlab Central from www.mathworks.com
You can calculate partial, second, third, fourth derivatives as well as antiderivatives with ease and for free. Interactive graphs/plots help visualize and better understand the functions. The derivative calculator supports computing first, second, …, fifth derivatives as well as differentiating functions with many variables (partial derivatives), implicit differentiation and calculating roots/zeros. Building graphs and using quotient, chain or product rules are available. The third derivative of x is the jerk. You can also check your answers! Suppose f is a function in x and y then it will be expressed by f(x, y). Free online derivative calculator allows you to solve first order and higher order derivatives, providing information you need to understand derivative concepts.

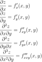
A partial derivative is a derivative taken of a function with respect to a specific variable.

However, the function may contain more than 2 variables. The third derivative of x is the jerk. Interactive graphs/plots help visualize and better understand the functions. The second derivative of x is the acceleration. A partial derivative is a derivative taken of a function with respect to a specific variable. The derivative calculator supports computing first, second, …, fifth derivatives as well as differentiating functions with many variables (partial derivatives), implicit differentiation and calculating roots/zeros. Suppose f is a function in x and y then it will be expressed by f(x, y). Free online derivative calculator allows you to solve first order and higher order derivatives, providing information you need to understand derivative concepts. The n th derivative is also called the derivative of order n. If the calculator did not compute something or you have identified an error, or you have a suggestion/feedback, please write it in the comments below. You can calculate partial, second, third, fourth derivatives as well as antiderivatives with ease and for free. By using this website, you agree to our cookie policy. So, the partial derivative of f with respect to x will be ∂f/∂x keeping y as.

If the calculator did not compute something or you have identified an error, or you have a suggestion/feedback, please write it in the comments below. Here ∂ is the symbol of the partial derivative. By using this website, you agree to our cookie policy. The first derivative of x is the object's velocity. So when we take the partial derivative of a function.

Introduction To Partial Derivatives Article Khan Academy
Introduction To Partial Derivatives Article Khan Academy from cdn.kastatic.org
Type x^2,y to calculate `(partial^3 f)/(partial x^2 partial y)`, or enter x,y^2,x to find `(partial^4 f)/(partial x partial y^2 partial x)`. The first derivative of x is the object's velocity. Building graphs and using quotient, chain or product rules are available. The partial derivative of a function f with respect to the differently x is variously denoted by f' x,f x, ∂ x f or ∂f/∂x. So, the partial derivative of f with respect to x will be ∂f/∂x keeping y as. So when we take the partial derivative of a function. Free online derivative calculator allows you to solve first order and higher order derivatives, providing information you need to understand derivative concepts. Interactive graphs/plots help visualize and better understand the functions.

You can also check your answers!

By using this website, you agree to our cookie policy. So, the partial derivative of f with respect to x will be ∂f/∂x keeping y as. So when we take the partial derivative of a function. By using this website, you agree to our cookie policy. The function is a multivariate function, which normally contains 2 variables, x and y. The n th derivative is also called the derivative of order n. Suppose f is a function in x and y then it will be expressed by f(x, y). The partial derivative of a function f with respect to the differently x is variously denoted by f' x,f x, ∂ x f or ∂f/∂x. The second derivative of x is the acceleration. Interactive graphs/plots help visualize and better understand the functions. The first derivative of x is the object's velocity. A partial derivative is a derivative taken of a function with respect to a specific variable. If the calculator did not compute something or you have identified an error, or you have a suggestion/feedback, please write it in the comments below.

Building graphs and using quotient, chain or product rules are available. Here ∂ is the symbol of the partial derivative. The partial derivative of a function f with respect to the differently x is variously denoted by f' x,f x, ∂ x f or ∂f/∂x. Type x^2,y to calculate `(partial^3 f)/(partial x^2 partial y)`, or enter x,y^2,x to find `(partial^4 f)/(partial x partial y^2 partial x)`. The first derivative of x is the object's velocity.

Finding The Gradient Of A Vector Function By Chi Feng Wang Towards Data Science
Finding The Gradient Of A Vector Function By Chi Feng Wang Towards Data Science from miro.medium.com
Type x^2,y to calculate `(partial^3 f)/(partial x^2 partial y)`, or enter x,y^2,x to find `(partial^4 f)/(partial x partial y^2 partial x)`. A partial derivative is a derivative taken of a function with respect to a specific variable. Building graphs and using quotient, chain or product rules are available. You can also check your answers! Suppose f is a function in x and y then it will be expressed by f(x, y). Free online derivative calculator allows you to solve first order and higher order derivatives, providing information you need to understand derivative concepts. You can calculate partial, second, third, fourth derivatives as well as antiderivatives with ease and for free. Interactive graphs/plots help visualize and better understand the functions.

Interactive graphs/plots help visualize and better understand the functions.

Free online derivative calculator allows you to solve first order and higher order derivatives, providing information you need to understand derivative concepts. By using this website, you agree to our cookie policy. You can calculate partial, second, third, fourth derivatives as well as antiderivatives with ease and for free. Interactive graphs/plots help visualize and better understand the functions. The partial derivative of a function f with respect to the differently x is variously denoted by f' x,f x, ∂ x f or ∂f/∂x. The n th derivative is also called the derivative of order n. The first derivative of x is the object's velocity. Here ∂ is the symbol of the partial derivative. The derivative calculator supports computing first, second, …, fifth derivatives as well as differentiating functions with many variables (partial derivatives), implicit differentiation and calculating roots/zeros. The second derivative of x is the acceleration. Suppose f is a function in x and y then it will be expressed by f(x, y). However, the function may contain more than 2 variables. The third derivative of x is the jerk.

By using this website, you agree to our cookie policy partial derivative calculator. Suppose f is a function in x and y then it will be expressed by f(x, y).